Springe auf Hauptinhalt Springe auf Hauptmenü Springe auf SiteSearch
Innovation

Solarwatt bringt Battery flex

Große Bühne im Internet: Anfang Juni hat Solarwatt bei einem virtuellen Event die neue Speichergeneration Solarwatt Battery flex vorgestellt. „Dafür haben sich ein deutscher Premiumkonzern aus der Automobilbranche und ein führender Anbieter von Solartechnik zusammengetan“, sagte Detlef Neuhaus, CEO von Solarwatt. „Wir haben eng mit BMW kooperiert, um diese Neuheit zu entwickeln.“

Lithium-Ionen-Zellen von BMW

Nach Angaben von Technikchef Armin Froitzheim hat Solarwatt rund 20 Millionen Euro in das neue Speichersystem gesteckt. Die Batteriemodule kommen von Webasto, die Zellen stammen aus dem Einkauf von BMW für die E-Autos der i-Serie.

Acht NMC-Zellen stecken in jedem Batteriemodul. Der Anteil von Kobalt wurde deutlich reduziert, dafür ist mehr Nickel drin. Auf diese Weise wurde die Energiedichte erhöht. Deshalb sind die Batteriemodule sehr kompakt, sie wiegen rund 25 Kilogramm für je 2,4 Kilowattstunden.

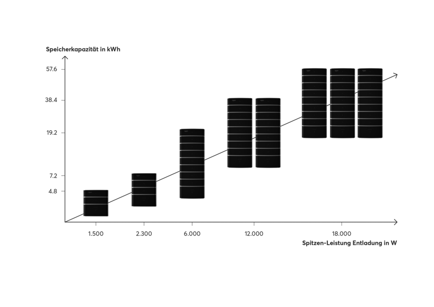
Von 4,8 bis 240 Kilowattstunden

Die Endmontage der Hausspeicher erfolgt bei Solarwatt in Dresden. Die gesamte Bauserie, die sukzessive in den kommenden Monaten erweitert wird, erlaubt Speicherkapazitäten zwischen 4,8 und 240 Kilowattstunden, als einphasiges (AC-1) und dreiphasiges System (AC-3) sowie als DC-Hybridsystem. Welche Hybridwechselrichter kompatibel sind, wird Solarwatt im kommenden Jahr bekannt geben, beim Markteintritt der DC-Variante.

Bei AC-gekoppelten Systemen kann man mehrere Systeme als Cluster kombinieren. Mit der AC-3 sind zehn Batteriemodule (seriell verschaltet) und zehn Cluster möglich (parallel verschaltet). Auf diese Weise wird die Speicherkapazität auf bis zu 240 Kilowattstunden erweitert. Die Battery flex AC-3 als dreiphasiges Gerät soll im Laufe des Jahres 2022 verfügbar sein. Die neuen AC-Systeme von Solarwatt sind mit allen gängigen Wechselrichtern der Solarbranche kompatibel.

Konsequent modular aufgebaut

Das Speichersystem ist modular aufgebaut und lässt sich sehr einfach erweitern. Wie beim früheren My-Reserve besteht das Speichersystem aus Batteriemodulen, die jeweils 2,4 Kilowattstunden speichern können.

Auch behält Solarwatt das Konzept bei, dass ein Elektronikmodul mehrere Batteriemodule verwaltet. Bei der AC-3 können bis zu zehn Batteriemodule pro Elektronikmodul laufen, die sich automatisch einbinden und mit der Steuerung kommunizieren. Die AC-1 erlaubt acht Batteriemodule.

Das Elektronikmodul wiederum wird nach der Art der Einbindung beim Kunden ausgewählt: einphasig oder dreiphasig AC oder DC über einen Hybridwechselrichter (ab 2022). Es wiegt unter 20 Kilogramm und lässt sich – wie die Batteriemodule – sehr einfach installieren.

Speichersystem AC-1 mit Elektronikmodul und drei Batteriemodulen (7,2 Kilowattstunden).

Foto: Solarwatt

Speichersystem AC-1 mit Elektronikmodul und drei Batteriemodulen (7,2 Kilowattstunden).

Marktstart mit der AC-1

Anfang Juni wurde in Dresden zunächst die Battery flex AC-1 vorgestellt, die ab Herbst an die Installateure ausgeliefert wird. Sie beinhaltet die komplette Leistungselektronik für die einphasige AC-Anbindung an den Solarwechselrichter. In der Grundausstattung sind es zwei Batteriemodule (4,8 Kilowattstunden), bis zu acht Batteriemodule lassen sich einbinden (19,2 Kilowattstunden).

Die AC-1 verwaltet bis zu drei parallele Systeme als Cluster, also bis 57,6 Kilowattstunden. Voll ausgebaut schafft dieses System bis zu 18 Kilowatt Entladeleistung. Drei AC-1 könnten beispielsweise auf drei Phasen laufen, um ein dreiphasiges System zu simulieren.

Die Leistungsabgabe der AC-1 startet bei zwei Batteriemodulen mit 1,5 Kilowatt, bei acht Batteriemodulen sind es sechs Kilowatt Entladeleistung. Eine AC-3 wird bis zu zehn Batteriemodule verwalten und 13,5 Kilowatt leisten. Bei einem Maximalcluster von zehn voll bestückten AC-3 (je zehn Batteriemodule) sollen bis zu 135 Kilowatt möglich werden.

Denkbar einfache Installation

Die Installation der neuen Speichergeräte ist denkbar einfach. Sowohl das Elektronikmodul als auch die Batteriemodule haben seitlich versteckt handliche Tragegriffe, die sich ausklappen lassen. An der Wandhalterung werden die Module übereinander eingehängt und zusammengesteckt (T-Nutensteine, keine Schrauben), damit sind sie kontaktiert und verbunden.

Ein spezielles Batteriemodul für den oberen Abschluss des Batteriepacks trägt das Logo von Solarwatt und BMW i. Es hat keine obere Steckerleiste, sondern schließt mit einem Deckel ab.

Die Wandhalterung ist gleichfalls modular gestaltet, damit sie komplett hinter dem Speicher verschwindet, ähnlich wie beim My-Reserve. Die Halterung bietet zugleich den Kabelschacht für den AC-Anschluss und die Kommunikation.

RS485 neu integriert

Die Steuerung läuft über Ethernet, neu integriert wurde die Schnittstelle RS485. Sie wird gebraucht, um das Elektronikmodul mit dem Hybridwechselrichter zu verbinden, als DC-Hybridsystem. Diese Variante ist für 2022 angekündigt.

Nach Zusammenstecken des Speichers startet automatisch der Selbsttest. Auch die Inbetriebnahme läuft automatisch. Der Betriebszustand des Speichers wird durch grüne Statusanzeigen verdeutlicht.

Updates der Firmware werden künftig über Bluetooth oder Ethernet aufgespielt. Der gute, alte USB-Dongle gehört nun auch bei Solarwatt der Vergangenheit an.

Die Modularität erlaubt die einfache Erweiterung der Speicherkapazität und der Entladeleistung.

Foto: Solarwatt

Die Modularität erlaubt die einfache Erweiterung der Speicherkapazität und der Entladeleistung.

Jetzt weiterlesen und profitieren.

+ PV E-Paper-Ausgabe – jeden Monat neu
+ Kostenfreien Zugang zu unserem Online-Archiv
+ Fokus PV: Sonderhefte (PDF)
+ Webinare und Veranstaltungen mit Rabatten
+ Adresseintrag im jährlichen Ratgeber
uvm.

Premium Mitgliedschaft

2 Monate kostenlos testen