Springe auf Hauptinhalt Springe auf Hauptmenü Springe auf SiteSearch

Speicher auf dem Prüfstand

Das Streben nach Unabhängigkeit vom Stromversorger beflügelt den zunehmenden Einsatz von privaten Speichersystemen für die Photovoltaik. Das vorrangige Ziel eines Solarspeichersystems ist es, den Netzbezug eines Gebäudes zu senken.

Die Speicherung der solaren Stromüberschüsse verringert allerdings auch die in das Netz eingespeiste Energie. Je geringer die Verluste eines Speichersystems sind, desto mehr Solarstrom lässt sich in das Netz einspeisen. Zudem muss dann auch weniger Strom aus dem Netz bezogen werden. Die Höhe der Effizienzeinbußen wirkt sich somit unmittelbar auf die erzielbaren Kosteneinsparungen aus.

Blätter ohne vergleichbare Daten

Wirft man einen Blick in die Datenblätter, stellt man schnell fest: Je nach Hersteller unterscheiden sich bereits die Bezeichnungen der einzelnen Systemeigenschaften.

In Bezug auf die Effizienz ist in den Datenblättern häufig der maximale Wirkungsgrad für einzelne Systemkomponenten oder ausgewählte Umwandlungspfade zu finden. Unter welchen Betriebsbedingungen diese Maximalwerte erreicht werden, ist nur selten angegeben.

Verlässliche Vergleiche kaum möglich

Ein verlässlicher Vergleich der Effizienz von verschiedenen Speichersystemen ist daher heute auf Basis der Datenblattangaben kaum möglich.

Um eine bessere Vergleichbarkeit der Speichersysteme zu erzielen, haben die Branchenverbände BVES und BSW-Solar im Jahr 2017 unter Beteiligung zahlreicher Hersteller, Prüfinstitute und Hochschulen den „Effizienzleitfaden für PV-Speichersysteme“ veröffentlicht.

Mit dem Effizienzleitfaden werden einerseits die Begrifflichkeiten und andererseits die Prüfverfahren zur Bestimmung der Systemeigenschaften im Labor vereinheitlicht. Kurz gesagt: Die Labormessungen nach dem Effizienzleitfaden sind die Grundlage, um die einzelnen Effizienzparameter der Speichersysteme miteinander vergleichen zu können. Bislang haben jedoch nur wenige Hersteller ihre Datenblattangaben entsprechend den Vorgaben des Effizienzleitfadens aktualisiert oder Prüfberichte veröffentlicht. Daher kommt die Frage auf: Haben diejenigen Hersteller, die keine Messergebnisse zur Verfügung stellen, etwas zu verbergen?

Eines ist klar: Die Gesamteffizienz eines Heimspeichersystems wird von einer Vielzahl von Verlust- und Einflussfaktoren bestimmt. In der Regel dominieren die Umwandlungsverluste, insbesondere die Verluste in der Leistungselektronik [1]. Eine besondere Rolle spielt dabei die Umwandlungseffizienz während des Entladevorgangs im Teillastbereich.

Je nach Systemkonfiguration und Lastprofil des Wohngebäudes werden bis zu 60 Prozent der jährlichen Energie des Batteriespeichers bei Leistungen unterhalb von 500 Watt abgegeben. Schließlich wird der Speicher überwiegend in den Abend- und Nachtstunden bei geringem Stromverbrauch entladen.

Schluckspechte heizen das Gebäude

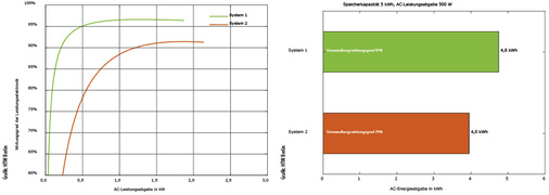
Der Umwandlungswirkungsgrad der Leistungselektronik kann in diesem Leistungsbereich je nach System sehr unterschiedlich ausfallen. Auf Effizienz getrimmte Systeme erreichen bei einer AC-Leistungsabgabe von 500 Watt Spitzenwirkungsgrade von bis zu 95 Prozent.

Schluckspechte kommen dagegen nur auf Umwandlungswirkungsgrade unter 80 Prozent. Da die Umwandlungsverluste als Abwärme verpuffen, tragen insbesondere ineffiziente Speichersysteme ungewollt zur Gebäudeheizung bei.

Die Bedeutung der Entladeverluste kann man auch aus einem anderen Blickwinkel betrachten. Denn sie wirken sich unmittelbar darauf aus, welcher Anteil der gespeicherten DC-Energie während des Entladevorgangs überhaupt auf der AC-Seite an das Hausnetz abgegeben wird.

Verlustarme Asketen sparen mehr

Bei einer Speicherkapazität von fünf Kilowattstunden und dem zuvor beschriebenen Beispiel mit einem Umwandlungswirkungsgrad von 95 Prozent sind es immerhin 4,8 Kilowattstunden, wenn das System konstant mit 500 Watt entladen wird.

Beträgt der Umwandlungswirkungsgrad unter diesen Betriebsbedingungen lediglich 80 Prozent, sind es nur vier Kilowattstunden, die AC-seitig abgegeben werden. Die Umwandlungseffizienz während des Entladevorgangs wirkt sich demnach sehr stark auf die AC-seitig entnehmbare Energie aus. Oder anders formuliert: Das effizientere System ist nicht so schnell entladen und kann damit mehr Netzbezug vermeiden.

Unter Umständen können sogar verlustarme Asketen mit einem kleinen Batteriespeicher höhere Einsparungen als ineffiziente Artgenossen mit großer Speicherkapazität erzielen. Eine reine Fokussierung auf die Größe des Batteriespeichers, ohne dabei die Effizienz der Leistungselektronik im Blick zu haben, ist daher wenig sinnvoll.

Darüber hinaus wird oft die Bedeutung des Stand-by-Verbrauchs unterschätzt.

Stillstandszeiten kosten Geld

Dabei ist der Batteriespeicher je nach Systemkonfiguration jährlich 2.000 bis 5.000 Stunden entladen. Das ist rund ein Viertel bis die Hälfte aller Stunden im Jahr. Die Verweilzeit im entladenen Zustand ist in der Regel umso höher, je kleiner das Speichersystem ist.

Ein System mit einer nutzbaren Speicherkapazität von fünf Kilowattstunden und einer Photovoltaikleistung von fünf Kilowatt ist rund 4.000 Stunden im Jahr leer.

Nimmt das System in dieser Zeit AC-seitig zehn Watt auf, werden 40 Kilowattstunden pro Jahr zusätzlich aus dem Netz bezogen.

Stand-by-Versorgung aus dem Netz?

Der Netzbezug der Speichersysteme steigt mit zunehmender Stillstandszeit und AC-Leistungsaufnahme. Bei Systemen mit einer AC-Leistungsaufnahme von 50 Watt und mehr können schnell mehrere Hundert Kilowattstunden pro Jahr zusammenkommen, die vom Netz in den Heimspeicher fließen.

Die sich daraus ergebenden Verluste muss man in Relation zur jährlichen AC-Energieabgabe des Batteriesystems betrachten: Je nach Systemdimensionierung können dadurch immerhin zehn bis 20 Prozent des durch den Batteriespeicher vermiedenen Netzbezugs aufgrund des Stand-by-Verbrauchs wieder verloren gehen.

Hinzu kommt, dass sich einige Systeme im Stand-by-Betrieb auch aus dem Batteriespeicher versorgen. Dieser DC-seitige Stand-by-Verbrauch wird dann zu einem späteren Zeitpunkt durch Solar- oder Netzstrom kompensiert.

In zwei Sekunden ausgeregelt

Neben den Umwandlungs- und Bereitschaftsverlusten dürfen die Regelungseigenschaften nicht außer Acht gelassen werden.

Von besonderem Interesse ist zum einen eine schnelle Einschwingzeit der Lade- und Entladeleistung des Batteriespeichers. Nach einem Leistungssprung der Solarerzeugung oder des Stromverbrauchs sind sehr gute Systeme innerhalb von zwei Sekunden ausgeregelt.

Zum anderen spielt auch die Genauigkeit der Leistungsregelung eine Rolle. Wird der Sollwert über- oder unterschritten, kommt es zu einem ungewollten Energieaustausch mit dem Netz.

Damit die resultierenden Regelungsverluste möglichst gering ausfallen, sollten die stationären Regelungsabweichungen eines Heimspeichersystems über den gesamten Leistungsbereich möglichst unter zehn Watt liegen.

Hohe Effizienz ist entscheidend

Den Siegeszug von Photovoltaikanlagen in Kombination mit Batteriespeichersystemen stellt heute niemand mehr ernsthaft infrage.

Wie gut Speichersysteme die Energiewende voranbringen oder ob sie gar für höhere Kohlendioxidemissionen sorgen, hängt allerdings maßgeblich von ihrer Effizienz ab [3]. Daher sind nicht nur aus ökonomischen, sondern auch aus ökologischen Gründen geringe Speicherverluste erstrebenswert.

Sind die entsprechenden Effizienzparameter nicht auf dem Datenblatt zu finden, lohnt es sich also, beim Systemanbieter danach zu fragen.

Literatur

[1] J. Weniger, T. Tjaden, und V. Quaschning, „Vergleich verschiedener Kennzahlen zur Bewertung der energetischen Performance von PV-Batteriesystemen“, in 32. Symposium Photovoltaische Solarenergie, Bad Staffelstein, 2017.

[2] N. Munzke, B. Schwarz, F. Büchle, und J. Barry, „Lithium-Ionen Heimspeichersysteme: Performance auf dem Prüfstand“, in 32. Symposium Photovoltaische Solarenergie, Bad Staffelstein, 2017.

[3] R. L. Fares und M. E. Webber, „The impacts of storing solar energy in the home to reduce reliance on the utility“, Nature Energy, Bd. 2, Nr. 2, 2017.

Danksagung

Dieser Beitrag entstand im Forschungsprojekt „Bewertung und Optimierung der Energieeffizienz von Photovoltaik-Batteriesystemen (EffiBat)“. Das Projekt wird gefördert mit Mitteln der Deutschen Bundesstiftung Umwelt.

Effiziente Heimspeicher

Fünf wesentliche Kriterien

> 90 Prozent Wirkungsgrad der Leistungselektronik bei 500 Watt,

< fünf Watt AC- und DC-Leistungsaufnahme im Stand-by,

> 95 Prozent energetischer Batteriewirkungsgrad,

< zwei Sekunden Einschwingzeit der Systemregelung,

< zehn Watt stationäre Regelungsabweichungen.

pvspeicher.htw-berlin.de

Kurz nachgefragt

„Wir bringen eine neue Batteriegröße“

Wie bewerten Sie die Entwicklung im jungen Markt für Stromspeicher?

Michael Harre: Wir sind erst im vierten Quartal 2016 mit unserem Speicher in den Markt eingestiegen. Und das nur mit einer Wechselrichtergröße von fünf Kilowatt und einer Batteriegröße von 6,4 Kilowattstunden, als dreiphasiges DC-System. Davon haben wir 2017 in Deutschland immerhin weit über 1.000 Stück verkauft, deutlich mehr als zu Jahresbeginn erhofft.

Woran liegt dieser Erfolg?

Unsere Kunden und deren Kunden bevorzugen Anlagen aus einer Hand. Mehr als die Hälfte der Kunden im Privatsegment, die unsere Solarmodule kaufen, lassen sich auch einen LG-Stromspeicher installieren. Unser guter Name zahlt sich aus. Und es zahlt sich auch aus, dass die Kunden für die gesamte Anlage einen einzigen Ansprechpartner haben. Nicht drei: einen für die Module, einen für die Wechselrichter und einen für die Speicherbatterie.

Beliefern Sie auch Speichermärkte außerhalb Deutschlands?

Wir haben einige Speicher nach Österreich und in die Schweiz verkauft. Unser System ist dreiphasig und DC, das passt in diesen Märkten sehr gut. Italien oder Großbritannien bevorzugen einphasige AC-Geräte, damit sind wir noch nicht unterwegs. Wir gehen Schritt für Schritt vor. Es nützt nichts, Speicher nach Skandinavien oder Italien zu verkaufen und die eigene Struktur zu überdehnen.

Planen Sie schon Speichersysteme beispielsweise für den italienischen Markt?

In diesem Jahr noch nicht. Wir werden im Juni eine zweite Batteriegröße auf den Markt bringen. Dann kann der Kunde unseren Fünf-Kilowatt-Wechselrichter mit 6,4 Kilowattstunden oder mit 12,8 Kilowattstunden Speicherkapazität kombinieren. Im Dezember wollen wir dann auch einen größeren Wechselrichter bringen.

Wird die größere Batterie ab der Intersolar lieferbar sein?

Ja, sie geht im Juni in den Vertrieb. Bisher hat das Jahr gut angefangen, und wir würden unseren Absatz in diesem Jahr gern verdoppeln.

Das Gespräch führte Heiko Schwarzburger.

www.lg-solar.com

Michael Harre

ist Vizepräsident der EU Solar Business Group bei LG Electronics und seit 2012 für das Solargeschäft in Europa zuständig. Zuvor war er unter anderem bei Schott Solar tätig. LG Electronics hat seinen Unternehmenssitz in Eschborn bei Frankfurt am Main.

Die Autoren

Johannes Weniger, Nico Orth, Selina Maier, Volker Quaschning

gehören zur Forschungsgruppe Solarspeichersysteme an der Hochschule für Technik und Wirtschaft (HTW) in Berlin.